Die Antworten folgender Probleme können dir beim Bearbeiten der Aufgabe c) helfen.
Bei Fragen oder anderen Problemen, meldet euch im Messenger bei Iserv.
Einführung in die Integralrechnung
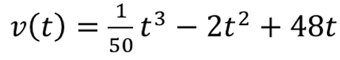
Wir planen ein Heißluftballonunternehmen zu eröffnen. Um einen Heißluftballon in der Luft zu halten, benötigt man Gas um die Luft zu erhitzen, die den Ballon trägt. Wir planen mehrere Touren von unterschiedlichen Strecken anzubieten, wofür wir den ungefähren Gasverbrauch pro Kilometer wissen wollen. Wir fahren also eine Tour einmal ab und messen mit dem GPS System und können daraus den ungefähren Gasverbrauch pro km bestimmen. Leider hat unser Kompagnon nur eingestellt, dass das Gerät die Geschwindigkeit zu jedem Zeitpunkt misst und nicht den insgesamt zurückgelegten Weg. Nun haben wir zu jedem Zeitpunkt die Geschwindigkeit und können daraus eine Funktion modellieren, die folgendermaßen lautet:
Zur Vereinfachung gehen wir davon aus, dass sich der Ballon nur in einer Bewegungsebene bewegt. Also weder hoch oder runter, noch links oder rechts.
Überlege dir, welche
Darstellungsformen es noch für Funktionen
gibt, die ihnen in dieser Situation helfen
könnten.
Denke daran, dass der Betrag der
Geschwindigkeit lediglich die „Schnelligkeit“
angibt. In dem Begriff der Geschwindigkeit
steckt noch mehr drin!
Guck dir den Graphen genau an.
Welcher Wert beschreibt den
zurückgelegten Wert. Wie kannst du den
Weg, den der Heißluftballon rückwärts fährt
berechnen?
Überlege was mit dem
Heißluftballon passiert, wenn:
- der Funktionsgraph steigt/fällt
- der Funktionsgraph eine Nullstelle hat
- der Graph negative Funktionswerte hat
Aufgabe 1
a) Erläutere, wie man den zurückgelegten Weg des Heißluftballons bestimmen kann, wenn die Funktion der Geschwindigkeit gegeben ist.
b) Berechne den insgesamt zurückgelegten Weg nach 30 und 60 Minuten, vergleiche und deute die Werte in Bezug auf den Sachzusammenhang.
c) Erläutere und stelle dar, wie man den insgesamt zurückgelegten Weg des Heißluftballons bestimmen kann.
Stelle dabei die unterschiedlichen Möglichkeiten, die auftreten können dar.
Die Deutung der Ergebnisse ist ein wichtiger Teil der Aufgabe. Kommentiere deine Zwischenergebnisse und stelle deine Überlegungen dar.