Einführung in die Integralrechnung

Aufgabe

1. 

Die Zuflussrate f’ in einem Wasserbecken steigt im Zeitraum von 0 bis 6 Minuten gemäß der Funktionsgleichung f’(t)=20+12t (Zeit in t und Zuflussrate f’(t) in l/min).

a) Bestimme die Bestandsfunktion für die zugeflossene Wassermenge.

b) Welche Wassermenge ist nach 4 Minuten zugeflossen? Nach welcher Zeit sind 250 Liter zugeflossen.

 

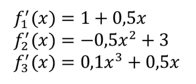
2. Funktionsgleichungen für Bestandsfunktionen finden

Zu den drei Änderungsfunktionen f’1, f’ 2 und f’3 wurden die zugehörigen Bestandsfunktion aufgezeichnet.              Bestimme die Funktionsgleichungen der Bestandsfunktionen.